The market of pure competition is an ideal economic image that no country has ever been able to achieve in life. At least something similar to free competition can be achieved in various industries, but not in those where large players predominate.
When the market is controlled by a couple of dozens of enterprises, or even less, it is very difficult to manage the pricing processes. If we are talking about a monopoly market, you need to carefully monitor the actions of everyone who enters into it, and control their power. It is for these purposes that the United States developed the Herfindahl-Hirschman index. 
Market concentration
No matter how many main enterprises in a certain field there are, each of them has its own market share. The indicator characterizing the percentage ratio of the market share in comparison with other participants is called market concentration. And the Herfindahl-Hirschman index helps to study it in a monopoly environment.
By the way, in the literature you can often find another designation - the Herfindahl-Hirschman index. This is one and the same, and such a disagreement has arisen in connection with the difficulties of translation.
But the value does not change from this, this indicator allows us to assess how monopolized the market is. In the USA it is used very often, since it can be used to prevent the complete absorption of the market by one player who can set his own rules.
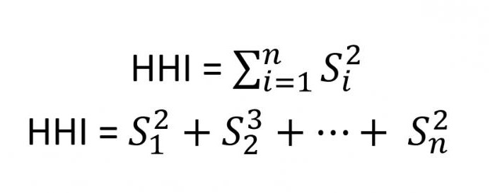
How to count
The Herfindahl-Hirschman Index (formula) is provided for your attention. 
The values given here should be understood as:
HHI is the desired index;
Si - the share of each enterprise in the market.
Thus, it is seen that the Herfindahl-Hirschman index is equal to the sum of the squares of the shares of each market participant. The percentage is taken as a percentage.
When it comes to a monopoly market, as a rule, there are few participants, and you can easily determine which place each of them occupies. But if the index is used for a sphere in which there are many manufacturers, then sometimes it just does not make sense to evaluate everyone. When an enterprise occupies a negligible market share, it does not have a significant impact on the processes, which means that these data can be ignored.
To obtain more reliable results, the data of the largest players are taken, then less significant. The index is calculated until it stops changing to hundredths of a percent. 
The main task
The calculation of the Herfindahl-Hirschman index is of great importance. As already mentioned, it was first applied in the United States and is still the main way the market is monitored by the antimonopoly committee.
The main advantage of the indicator is the ability to quickly respond to any intra-market changes. The table presented to your attention clearly shows how the Herfindahl-Hirschman index can change if the share of at least one of the participants increases.
It should be noted that if all players have equal shares, then the formula takes the form: HHI = 1 / n.

According to the table, it can be seen that the growth in market share, which seems insignificant, for example, from 40 to 60%, is displayed on the index by a very noticeable difference - from 0.16 to 0.36. This means that the influence of this company is amplified too rapidly.
When a company has more than 50% of the market, it is very difficult to compete with it, and as a rule, it is she who tells others how to behave, forcing them to adapt to the rules of the game established by the monopolist.
Maximum value
It would seem, why complicate the formula by squaring each participant and his share in the square? This is the whole point of how the Herfindahl-Hirschman index is calculated.If we simply added shares, we would always receive 100%. And so the values change very much. Let's look at an example of why this happens.
Suppose we have a perfect competition market in which there are 100 sellers and each has a 1% share, then our index will be equal to:
HHI = 1² x 100 = 100
Now consider a situation where there are half as many participants:
HHI = 2² x 50 = 200
Reduce the number of firms, but increase their share:
HHI = 10² x 10 = 1000
From the above, we can conclude that the fewer players and the greater their market share, the higher the Herfindahl-Hirschman index.
Thus, it is possible to determine the maximum possible value that will be in a situation where only one manufacturer will exist on the market and, accordingly, its share will be 100%:
HHI = 100² x 1 = 10,000
But this value is only theoretical, in life this has not yet occurred.
Index Level Value
So, there are three categories into which the market can be divided, according to the data obtained during research:
- The index value ranges from 1800 to 10000. These are markets with a very high level of monopolization. For each case of the merger or withdrawal from it or any other important issues, a trial is conducted with the participation of representatives of state authorities and the antimonopoly committee to make a decision.
- The index value ranges from 1000 to 1800. These are markets with a fairly high level of monopolization, it must be carefully monitored and special permission must be obtained from the authorities or the antimonopoly committee to enter or exit it.
- An index of less than 1000 means the market is competitive and there are no barriers to entry or exit. No additional control measures are required.

Conclusion
For the country is very dangerous situation when an industry is controlled by a small number of firms. Having agreed, they establish their rules of the game, their prices and their requirements. Ordinary people can suffer from this, and in order to prevent autocracy, a clear control is needed, which helps to implement the Herfindahl-Hirschman index.